Convert Binary Search Tree to Sorted Doubly Linked List
Created: December 26, 2018 by [lek-tin]
Last updated: October 12, 2019
Convert a BST to a sorted circular doubly-linked list in-place. Think of the left and right pointers as synonymous to the previous and next pointers in a doubly-linked list.
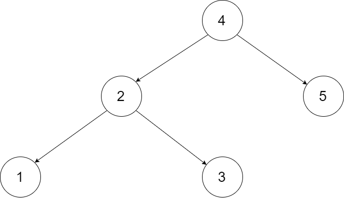
Let’s take the following BST as an example, it may help you understand the problem better:

We want to transform this BST into a circular doubly linked list. Each node in a doubly linked list has a predecessor and successor. For a circular doubly linked list, the predecessor of the first element is the last element, and the successor of the last element is the first element.
The figure below shows the circular doubly linked list for the BST above. The “head” symbol means the node it points to is the smallest element of the linked list.

Specifically, we want to do the transformation in place. After the transformation, the left pointer of the tree node should point to its predecessor, and the right pointer should point to its successor. We should return the pointer to the first element of the linked list.
The figure below shows the transformed BST. The solid line indicates the successor relationship, while the dashed line means the predecessor relationship.

Solution
python
"""
# Definition for a Node.
class Node:
def __init__(self, val, left, right):
self.val = val
self.left = left
self.right = right
"""
class Solution:
def treeToDoublyList(self, root: 'Node') -> 'Node':
if not root:
return None
head, end = self.convert(root)
head.left = end
end.right = head
print(head.val)
return head
def convert(self, root):
pair = [None, None]
if not root:
return pair
leftHead, leftTail = self.convert(root.left)
root.left = leftTail
if leftTail:
leftTail.right = root
if leftHead:
pair[0] = leftHead
else:
pair[0] = root
rightHead, rightTail = self.convert(root.right)
root.right = rightHead
if rightHead:
rightHead.left = root
if rightTail:
pair[1] = rightTail
else:
pair[1] = root
return pair